2019周帅老师高考数学二轮复习课程_高考数学复习班,由周帅老师授课,课程内容:计数原理,概率,统计基础,分布与期望,正态分布与线性回归,概率统计大题,参数方程与极坐标,期末考试应对与趋势,参数方程与极坐标,不等式选讲,复数,算法框图,从实际出发遇到的数学知识点,帮助同学们在高考的最后时刻抓分。
教程简介
5集之前为课程介绍,就不再放出来了!
2019周老师高考数学二轮复习课程:005下周预告
2019周老师高考数学二轮复习课程:006计数原理(一)
2019周老师高考数学二轮复习课程:007计数原理(二)
2019周老师高考数学二轮复习课程:008计数原理(三)
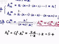
2019周老师高考数学二轮复习课程:009概率(一)
2019周老师高考数学二轮复习课程:010概率(二)
2019周老师高考数学二轮复习课程:11本周小结
2019周老师高考数学二轮复习课程:12.下周预告
2019周老师高考数学二轮复习课程:13统计基础(一)
2019周老师高考数学二轮复习课程:14.统计基础(二)
2019周老师高考数学二轮复习课程:15.分布与期望 – 副本
2019周老师高考数学二轮复习课程:16.正态分布与线性回归 – 副本
2019周老师高考数学二轮复习课程:17.概率统计大题(一) – 副本
2019周老师高考数学二轮复习课程:18.一周小结 – 副本
2019周老师高考数学二轮复习课程:19.下周预告 – 副本
2019周老师高考数学二轮复习课程:20.概率统计大题(二) – 副本
2019周老师高考数学二轮复习课程:21.概率统计大题(三) – 副本
2019周老师高考数学二轮复习课程:23.概率统计大题(四)
2019周老师高考数学二轮复习课程:24.概率统计大题(五)
2019周老师高考数学二轮复习课程:25.概率统计大题(六)
2019周老师高考数学二轮复习课程:26.一周小结
2019周老师高考数学二轮复习课程:27.下周预告
2019周老师高考数学二轮复习课程:28.概率统计大题(七)
2019周老师高考数学二轮复习课程:29.参数方程与极坐标(一)
2019周老师高考数学二轮复习课程:29.期末考试应对与趋势(综合演练3)
2019周老师高考数学二轮复习课程:30.参数方程与极坐标(二)
2019周老师高考数学二轮复习课程:31.2019北京高三各区期末作文思路串讲(1)
2019周老师高考数学二轮复习课程:32.2019北京高三各区期末作文思路串讲(2)
2019周老师高考数学二轮复习课程:33.本周小结
2019周老师高考数学二轮复习课程:35.不等式选讲(一)
2019周老师高考数学二轮复习课程:36.复数
2019周老师高考数学二轮复习课程:37.算法框图
2019周老师高考数学二轮复习课程:38.不等式选讲(二)
2019周老师高考数学二轮复习课程:39.结班词
—
算算这笔账,你就知道怎么选更划算
你正在尝试购买单门课程(¥19.00)。
但在您支付前,请先看一眼这笔账:
买 1 门课 = ¥ 19
买 5 门课 = ¥ 95
解锁全站 500000+ 课程 (永久SVIP) = 仅需 ¥ 99 🤯
🤔 还在到处找资源?
别浪费时间了!全网热门课程,这里都有。
外面卖 299、1999 的割韭菜课, 这里通通包含在SVIP 里。
☕️ 少喝 3 杯奶茶 (¥99)
换一个终身学习/搞钱的资源库。
今日仅需 99 元,解锁全站终身钻石SVIP
💎 SVIP 永久会员
- 全站 500000+ 课程永久免费下
- 每日 更新热门课程50+(站内没有可联系站长帮你找)
- 送 AI/N8N 自动化资源库
- 每门课程 不到 0.01元/门



